메뉴 여닫기
환경 설정 메뉴 여닫기
개인 메뉴 여닫기
로그인하지 않음
만약 지금 편집한다면 당신의 IP 주소가 공개될 수 있습니다.
NovaAdmin (토론 | 기여)님의 2026년 1월 8일 (목) 09:03 판 (DCWiki 복구: 최신본 이식)
(차이) ← 이전 판 | 최신판 (차이) | 다음 판 → (차이)
주의! 이 문서에서 설명하는 대상은 그야말로 클라스가 다릅니다.
이 문서는 다른 것들과는 비교도 할 수 없을 정도로 클라스가 다른 갓-창작물에 대해 다루고 있습니다.
여러 대중매체에서 자주 거론되거나, 아니면 문화적, 세계적으로 거대한 영향을 끼쳤거나
확실히 그 무엇보다도 다른 우주명작급 작품이니 본문을 읽기 전 뇌를 비우시기 바랍니다.
이 문서는 이해하기 어려운 대상을 다룹니다.
이 문서는 일반적인 뇌를 가지고도 이해하기 어려운 대상에 대해 다룹니다. 두뇌를 풀가동해도 아마 이해하기 어려울 것입니다.
이 문서는 고인에 대해 다룹니다.
이 문서의 대상은 세상을 떠났습니다.

개요

2014학년도 대학수학능력시험 수학 B형 29번 문항이다.

크고 아름답기로 유명한 문제다. 2014학년도 입시의 피날레.

원래 어차피 교육과정에서 빠진 공간벡터문제는 작성 안하려고 했는데 그래도 이과인의 피를 끓어오르게 하는 이 문제를 보고 마음을 바꿨다.

까고보면 그렇게 많이 어려운 문제는 아니지만, 처음보는 사람들에게는 (특히 비주얼적으로) 충분히 압박감을 줄 수 있는 문제이다.

문제 분석

좌표공간에서 구 x2 + y2 + z2 = 4 위를 움직이는 두 점 P, Q가 있다.

동점 두개짜리 문제다 긴장해야한다.

두 점 P, Q에서 평면 ... 에 내린 수선의 발을 각각... 어쩌고

미지의 동점을 또 좆같은... 한개도 아니고 여러 평면에 꼬라박아야 한다. 한숨만 푹푹 나온다.


이 문서는 희망찬 것을 다룹니다.
이 문서는 희망이란 글만 보면 육두문자가 나오는 게 아니면 재미있게 볼 수 있는 희망찬 것에 대해 다룹니다.
 이때, 의 최댓값을 구하시오.

근데 여기서 뭔가 희망이 보인다... 원래 좆같게하려면 벡터끼리의 내적에서 최대최소를 구하라고 따졌을텐데,

여기서는 벡터와 정사영벡터의 절댓값의 사칙연산으로 이뤄진 식의 최대최소를 구하라고 하였다...

어차피 정사영벡터의 크기는 원래 벡터의 크기에 코사인만 곱한 값 아니던가? 그렇다면 잘하면 PQ벡터의 절댓값으로 다 묶어버리고 어떤 연산을 시도할 가능성이 생길 것 같기도 하다.

풀이

Phase1

알다시피 벡터의 핵심은 크기와 방향을 갖는다는 것이다. 다시말해 크기와 방향을 갖기만 하면 시점은 아무래도 좋다는 것이다.

PQ벡터의 크기가 지름 4를 못넘는건 아까 확인했다.

사실 여기서 시점을 원점 O로 바꿔서 PQ벡터 = OT벡터라는 새로운 벡터로 치환해도 별 상관 없다.

그럼 상황은 대충 다음과 같다.

즉, 치환된 OT벡터의 점 T는 반지름이 4인 구 안에 있는 점이라고 봐도 무방하다.

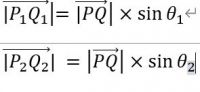
PQ벡터와 평면 y = 4의 법선벡터가 이루는 각을 θ1, PQ벡터와 평면 y + √3z + 8 = 0의 법선벡터가 이루는 각을 θ2라고 하면,

직선과 평면의 관계에 의해서, 각 정사영 벡터 P1Q1, P2Q2와 PQ벡터가 이루는 각은 90 - θ1, 90 - θ2이므로

P1Q1벡터의 크기와 벡터 P2Q2의 크기는 다음과 같다.

따라서 구하고자 하는 식을 정리하면 다음과 같다.

Phase2

OT벡터 = (a, b, c)라고 하자.

OT벡터의 크기는 4보다 작으므로 a2 + b2 + c2 ≤ 16 이다.

OT벡터의 위치벡터도 설정했으니, 주어진 식의 값들은 대입해서 찾아보도록 하자.

|OT벡터|2 = a2 + b2 + c2

cos θ1 = (a, b, c)·(0, 1, 0)/(a2 + b2 + c2)×1
(θ1은 OT벡터와 y = 4의 법선벡터가 이루는 각이다.)

cos θ2 = (a, b, c)·(0, 1, √3)/(a2 + b2 + c24
(θ2은 OT벡터와 y + √3z = 0의 법선벡터가 이루는 각이다.)

모두 주어진식에 대입하고 정리하면, 우리가 최종적으로 최댓값을 따져야할 식은

1/4( 5b2 + 3c2 + 2√3bc )가 된다.

Phase 3

별에 별 지랄을 거쳐서 이제 1/4( 5b2 + 3c2 + 2√3bc )의 최댓값을 따지면 된다는 것까지 알았다.

여기서 최댓값을 따질 때 여러가지 방법이 있다.

코시-슈바르츠 부등식

a2 + b2 + c2 ≤ 16 일때,

1/4( 5b2 + 3c2 + 2√3bc )을 구하는게 문제다.

일단 a는 주어진 식에서 아무런 기능을 못하고, 최댓값이 되기 위해선 b, c에게 최대한 스칼라값을 몰아주는게 좋으므로.

a = 0 일때, 준식이 최댓값이 될 수 있다.

준식을 보니까 좀 완전제곱식 스멜이 나고 고쳐보고 싶다. 근데 b2 + c2의 정보가 주어져있으므로 이걸 살려야한다.

이걸 고려해서 변형하다보면,

1/4{ 2( b2 + c2) + 3b2 + c2 + 2√3bc }

= 1/4{ 2( b2 + c2) + (√3b + c)2 }

로 고쳐볼 수 있다.

b2 + c2의 최댓값은 a = 0 일때, 16이 되고,

(√3b + c)2의 경우에는 코시-슈바르츠 절대부등식에 따라서[1]

( (√3)2 + (1)2 )(b2 + c2)≥(√3b + c)2

을 만족하므로

(√3b + c)2의 최댓값은 4×16 = 64가 된다.

따라서 주어진 식 ≤ 1/4×(2×16 + 64) 이므로

답은 24가 된다.

연립방정식의 실근 존재 조건

a2 + b2 + c2 ≤ 16 일때,

1/4( 5b2 + 3c2 + 2√3bc )을 구하는게 문제다.

일단 a는 주어진 식에서 아무런 기능을 못하고, 최댓값이 되기 위해선 b, c에게 최대한 스칼라값을 몰아주는게 좋으므로.

a = 0, b2 + c2 = 16일 때, 준식이 최댓값이 될 수 있다.

따라서 다시 정리하면

b2 + c2 = 16 ... (1)

1/4( 5b2 + 3c2 + 2√3bc ) = k ... (2)

일때, k의 최댓값을 구하는 문제라고 볼 수 있다.

두 방정식을 연립해야하는데, 인수분해가 되는 것도 아니고 2차항을 한번에 다 날리는 것도 불가능하다.

뭐 이도저도 방법이 없으니까 b,c를 변수, k를 상수로 본 후, 상수항 소거법을 시도해보자.

(2)×16 - (1)×k 를 하면

(20 - k)b2 + 8√3bc + (12 - k)c2 = 0이 나온다.

위의 식을 b에 대한 2차식으로 본다고 하자. (c에 대한 2차식으로 봐도 상관 없다. )

b, c 모두 실근이 존재하므로, b에대한 판별식 또한 0보다 크거나 같아야 할 것이다.

판별식을 D라고 할때,

D/4 = c2( - k2 + 32k - 192 ) ≥ 0

c2 ≥ 0 이므로, k2 - 32k + 192 ≤ 0 이다.

즉, 우리는 b, c의 실근이 존재하기 위한 k의 범위를 구해낸 것이다. 결국 여기서 k의 최댓값이 우리가 구하고자하는 식의 최댓값과 같다.

k2 - 32k + 192 = (k - 8)(k - 24) ≤ 0

8 ≤ k ≤ 24이므로, k의 최댓값은 24가 된다.

따라서 답은 24다.

원 위의 점으로 보기

a2 + b2 + c2 ≤ 16 일때,

1/4( 5b2 + 3c2 + 2√3bc )을 구하는게 문제다.

일단 a는 주어진 식에서 아무런 기능을 못하고, 최댓값이 되기 위해선 b, c에게 최대한 스칼라값을 몰아주는게 좋으므로.

a = 0, b2 + c2 = 16일 때, 준식이 최댓값이 될 수 있다.

근데 여기서 b2 + c2 = 16 을 유심히 봤더니, 뭔가 원을 닮은 느낌을 쌔하게 받을 수 있다.

이것만 알아차렸다면 임의의 각, θ에 대해서 b = 4cos θ, c = 4sin θ 로 놓고 풀어도 상관이 없다.

구하고자 했던 식에 b = 4cos θ, c = 4sin θ 를 모두 대입하면,

1/4( 80cos2θ + 48sin2θ + 32√3cosθsinθ )

= 8( cos2θ + √3cosθsinθ ) + 12 이다.

제곱꼴이 좀 역겨우니까 배각공식, 반각공식에 따라서 각을 2θ로 통일시켜보자. 정리하면

8(cos2θ + 1/2 + √3sin2θ/2) + 12

= 4cos2θ + 4√3sin2θ + 16 이다.

삼각함수를 합성하면, 4cos2θ + 4√3sin2θ = 8sin(2θ + a)이고 [2]

따라서 우리가 최댓값을 구해야 하는 식은

8sin(2θ + a) + 16 임을 알 수 있다.

최댓값은 24이므로 답은 24가 된다.

평가

악! 내 틀니!
읽기만 해도 이가 시려오는 문서입니다.

어차피 이제 교육과정 개정되서 기하와 벡터가 아니라 기하가 되어버렸다 ^^ 진성이과는 하루빨리 미적분으로 탈출하기를 권장한다.


각주

  1. a, b, x, y가 실수 일때 (a2 + b2)(x2 + y2)≥(ax + by)2을 만족 (등호 성립 조건은 x/a = y/b)
  2. a는 굳이 구할 필욘 없지만, 구하고 싶다면 알아서 구해봐라. 일단 a = π/6이다.