| 주의! 정말 극혐인 내용을 담고 있습니다. 이 문서는 정신적 또는 시각적 피해를 받을 수 있는 내용이 담겨 있습니다. 이러한 피해를 받지 않으려면 살포시 뒤로가기를 눌러 주십시오. 이를 무시하고 문서를 보아서 피해를 입더라도 디시위키는 일절 책임을 지지 않습니다. |
| 이 문서는 급식충에 관련된 것을 다룹니다. 이 문서는 급식충이 좋아하거나, 급식충과 연관된 것을 다룹니다. 노잼이 될 가능성이 높고, 혐오도가 높으니 주의 바랍니다. |
| 주의. 이 문서는 공머생들이 좋아하는 주제 혹은 공머생 그 자체에 대해 다룹니다. 본 문서가 다루는 내용에 지나치게 탐닉할 경우 필연적으로 여성들과 멀어지게 됩니다. 이는 디시위키가 책임지지 않습니다. |
설명
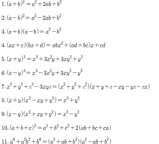
초등학교에 구구단이 있으면 중학교는 곱셈공식으로 각성해서 나온다.
좆중딩 2학년부터 4번까지를 배우기 시작하는데, 그 이후로는 좆중딩들에게 아주 좆같은 공식들이다.
현재에는 중3때 인수분해랑 같이 배운다
고등학교 수학상부터 좆나게 써먹으니 좆중딩들은 지금부터라도 외우도록 하자.
사실 저거보단 저거 활용하는게 더 많이 쓰인다.
아니면 예를 외워보자. 더 기억에 잘 남는다.
(3+x)2=32+6x+x2
이런식으로 참 쉽죠잉?^^
고딩때는 이항정리와 연관성이 깊다.
간혹가다 외우기 귀찮다고 안 외우고 일일히 전개만 하는 불쌍한 인생들이 있는데 이런 바보 같은 짓은 안하길 바란다. 인수분해를 하면서 피를 보게 될 확률이 높다.
위 사진의 다른것들은 죄다 간단하게 전개해서 알 수 잇지만 (10번은 합차다)
7번은 전개해야 한다 저언부
그니까 좆같은 7번 모 대학에 논술의 중간식에 매우 유용한 소재로 나온적 잇다 잊지말도록하자
ㅁㄴㅇㄹ
후반 갈수록 인수분해보다는 그냥 최고차항 계수 분의 상수항(약수) 다 대입해서 하나씩 끌어내는 노가다가 된다.
인수분해 공식
곱셈공식에서 좌변과 우변을 바꾸면 된다.
예를 들어 a2 - b2 = (a + b)(a - b)
