| 이 문서는 급식충에 관련된 것을 다룹니다. 이 문서는 급식충이 좋아하거나, 급식충과 연관된 것을 다룹니다. 노잼이 될 가능성이 높고, 혐오도가 높으니 주의 바랍니다. |
ㄴ 근데 급식충들 대부분 푸는방법 모른다. 그나마 인수분해 되는 꼴만 쥐여줘야 풀걸?
| 주의! 이 문서는 가독성 상태가 매우 좆망입니다. 가독성이좆망이라서글쓴이도자기가쓴글를보고병 신같음을느끼고읽다가말아버립니다.어서이 해주든가눈에띄게바꿔주세요. |
방정식 중 하나.
삼차방정식이랑 같이 고차방정식으로 묶이는 신세. 그래도 근과 계수의 관계, 오메가 등등 외우는 삼차방정식과 다르게 고1에서는 비중이 적다. 하지만 그 다음에는...
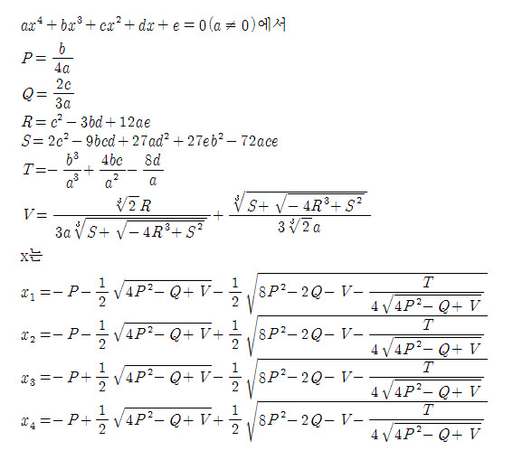
근의 공식
페라리의 공식이라고 있는데 원본이 너무 크고 아름다워서 몇몇 비슷한 부분을 치환해서 식으로 옮겨야 한다.
수학자라도 이런 건 안 외우겠다. 무슨, 인수분해 안해놓으면 A4지 한장에도 안들어갈 수준. 아벨이 5차방정식 근 유한번 연산으로 구할 수 없다고 그랬을 건데, 만약 있었다면?
누군가가 ㄹ의 픙싀를 만들었을 거고 그 다음에는...
| 머가리 터지기 전에 상상하지 마! 머가리 터지기 전에 상상하지 말라면 제발 좀 머가리 터지기 전에 상상하지 마 머가리 터지기 전에 상상하지 말라는데 꼭 더 하는 놈들이 있어요 ㅉㅉ |
급식들은 걍 조립제법 쓰자. 어차피 사차방정식의 근을 루트씌워서 주는 애미터진 경우는 고딩수학에선 안나온다.
꼴
ax4 + bx3 + cx2 + dx + e = 0.
1. 인수분해: 인수분해 되는 애들. 인수분해하면 대부분 유리수 범위 내에서 쉽게 1차식 네 개로 인수분해된다. 간혹 2차식 나오긴 해도 그쪽만 근의공식 적용 해라.
2. 상반방정식: ax4 + bx3 + cx2 + bx = −a. x + 1x식으로 바꾸면 근 구한다.(맨처음에 식x2로 다 묶어낸다)
2. 이차식 두 개: 실근 4개, 실근 2 허근2, 허근 4꼴로 나온다. 초반에 가장 많이 본다.
3. 삼차식 존재: 슬슬 ㅈ같아진다. 분명히 일차식 하나 뽑아내고 앗싸 했는데 나머지는 삼차식이다. 인수분해 안된다. 오메가 적용해서 근의 공식으로 풀자. 2차항 소거.
4. 실수 계수: 이게 뭔지... 인수분해하든 뭐하든 알아볼 수 없다.
5. 근의 공식:
| 주의. 이 문서는 공머생들이 좋아하는 주제 혹은 공머생 그 자체에 대해 다룹니다. 본 문서가 다루는 내용에 지나치게 탐닉할 경우 필연적으로 여성들과 멀어지게 됩니다. 이는 디시위키가 책임지지 않습니다. |
| 주의! 이 문서는 가독성 상태가 매우 좆망입니다. 가독성이좆망이라서글쓴이도자기가쓴글를보고병 신같음을느끼고읽다가말아버립니다.어서이 해주든가눈에띄게바꿔주세요. |
| 주의! 이 문서에서 다루는 대상은 병신입니다. 그냥 개좆병신 그 자체입니다. |
아니 애초에 접해볼 일도 없다. 다항방정식을 여기까지 끌고 오는 것 자체가 병신, 그전에 연립방정식 이런 거나 배우겠지 다항방정식 이런 데까지 질질 끌고 오는 것도 이상한 놈이다.
컴퓨터를 동원해서 풀자. Windows 98을 쓰는 게 아닌이상 30초 안에 근4개 뚝딱 한다.
ㄹ익 픙싀는 네이년에 병림픽이 벌어지고 있으니 가서 구경해보는 것도 재밌다.
근과 계수의 관계
외워두면 좆긴 한데 과연 쓸모가 있을까. 적어놓지는 않을건데 2차, 3차 계수관계 보면 대충 답 나온다. 하나만 주자면 모든 근의 곱은 e/a이다.
