메뉴 여닫기
환경 설정 메뉴 여닫기
개인 메뉴 여닫기
로그인하지 않음
만약 지금 편집한다면 당신의 IP 주소가 공개될 수 있습니다.
이 적절한 문서는 적절합니다.
적절한 문서의 적절한 내용은 적절히 적절하기 때문에 적절하지 않은 당신도 적절히 적절하게 됩니다.

개요

2014학년도 6월 평가원 모의고사 수학 가형 30번 문항이다.

문제 분석

뭔가 문자가 굉장히 많은데 하나씩 분석을 해보자.

y= x2+x 

이건 그냥 관계식일 것이고 뭔갈 대입하는 용도일 것이다.

s, t (0<s<t) / (s,t)가 나타내는 곡선... 어쩌고

곡선이라고 한다. 아마 상수는 아닐 것이다 라고 생각을 하자.

...둘러쌓인 넓이가 k가 되도록...

여기서 k가 상수란걸 눈치를 못까면 상당히 곤란하다. k가 뭔진 모르겠지만 넓이를 k가 되도록 임의로 상황을 설정한다는 뉘앙스를 파악해야한다.


이후엔 곡선 C와 (1,0)사이의 거리가 최소인 경우 x좌표가 2/3라고 한다. 이는 s값을 미리 알려준 것이나 마찬가지다.

결국 우리는 주어진 곡선 C 위의 (s, t)에 대해서 s = 2/3일 때의 t값을 구하고 그에 대응하는 k값을 구해야 함을 알 수 있다.

그리고 s = 2/3인 조건은 거리가 최소, 즉 거리함수의 도함수가 0인 지점을 말하니까 점과 곡선사이의 거리를 식으로 표현한 후 미분을 해서 등식을 얻어내야 한다.

풀이

Phase 1

먼저 변수끼리의 관계식을 최대한 많이 구해내서 단서를 얻어보도록 하자.

우선 넓이가 k가 되도록 하는 넓이 등식을 세워봄직 하다.

넓이를 구하려고 노가다를 하다보면, (걍 무식하게 y = x2 + x 를 0에서 t까지 적분한거에서 0에서 s까지 적분한 것을 빼주면 된다.)

k = 1/6(t3 - s3) ---(1) 이다. [1]

여기서 k는 상수이므로 여기서 우리는 임의의 실수 s에 대해 t가 유일하게 고정됨을 알 수 있다.


근데 우리는 s에 대한 t의 관계식을 얻어내야하므로 식을 더 구해야한다. 아까 살펴보았듯이 거리식을 세워보자.

점 (1, 0)과 곡선 C (s, t)의 거리 공식은 {(s - 1)2 + t2 이다.

근데 어차피 거리 값 자체는 우리에겐 불필요한 값이고, 루트 함수의 최대 최소는 루트 내부의 함수의 최대최소와 같으므로 루트 내부의 식만 따로 따져도 충분하다.

루트 내부의 식 = (s - 1)2 + t2 ---(2) 이다.

Phase 2

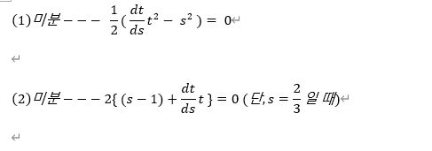
상수를 지워버리기 위해서 (1)식과 (2)식을 s에 대해서 미분한 후 연립하도록 하자.

각각 미분하면

여기서 미지수(미지의 값)은 s, t, dt/ds 3개이다. 이 상황에서 우리는 현재 s = 2/3임을 알고, 식이 두개가 있으니, 미지수 두개, 식 두개로 모든 값을 알아낼 수 있다.


싹다 연립하면 dt/ds = 4/9 고, t = 4/3이 나온다.


이제 마지막으로 k를 구해보자. s = 2/3, t = 4/3을 (1)식에 넣기만 하면 끝이다.

k = 1/6{ (4/3)3 - (2/3)3 } = 28/81

따라서 p + q = 109 이다.

평가

문자 울렁증 있는애들을 참교육하는 문제가 아니었나 싶다.

문자가 많이 나오면 일단 많은 애들이 손부터 놓는 경향이 강하다. 정신차리고 문자 하나하나가 뭔 의미를 갖는지를 생각하자.

일단 이런류의 문제가 낯선 애들에게는 좀 이해하기 까다로울 뿐이지 계산이 막 복잡한것도 아니고 많지도 않아서 적절한 문제였다고 생각한다.

각주

  1. 걍 2차함수와 직선 사이의 넓이 공식 1/6(β-α)3 (α, β는 두 교점의 x좌표이고 β > α ) 을 이용해도 된다. 증명은 알아서 해봐라.