| 이 문서가 설명하는 게임은 존나 쉽거나 보통입니다. 이 게임의 난이도는 쉽거나 보통이어서 아무리 너의 컨트롤이 씹창이거나 머가리가 멍청하더라도 클리어가 가능합니다. 이런 게임을 설치하였을 경우 초딩이거나 병신이 아닌 이상 올 클리어는 가능합니다. 그러니 빨리 클리어하세요! |
개요
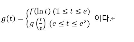
2014학년도 9월 평가원 모의고사 수학 B형 30번 문항이다.
문제 분석
주어진 g(ex)의 식과 f(lnx) 안에 들어있는게 ex나 lnx 를 치환해버리라고 울부짖는 것 같지 않나? 치환적분 스멜이 진하게 난다.
그럼 이제 어느식을 조작하면서 접근해볼까의 문제인데, f(lnx)는 밖에 1/x 꼴이 없으니까 시도하는게 좀 역겹다. [1]
g(ex)의 식을 ex = t 로 치환해보면서 문제를 접근해보도록 하자.
풀이
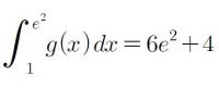
냅다 ex = t 로 치환을 해보자. 여기서 x와 t는 1대1 대응 관계이므로 구간 잡는데 거리낄 것은 없다.
좌변에 f(lnx) 항만 남도록 정리하면
(e+1)*(1에서 e까지 f(lnt)를 적분한 값)은 e2 + 5e +4,
인수분해 하면 (e + 1)(e + 4)이다.
e+1을 날리면 결국 우리가 구하고자 한 값은 e+4임을 알 수 있다.
a = 1, b = 4 이므로 a2 + b2 = 17이다.
평가
함수 안에 이상한게 들어있어 오또케 오또케
하지만 않았으면 다 무난하게 풀었을 것이다.
다양한 상황에서도 치환적분을 할 수 있는 능력을 테스트하는 문제였다.
30번이 이렇게 존나 쉬워서 이때 1컷이 유사 100점인 97점이 되었다.
각주
- ↑ 부분적분 해도 되지않냐? 싶겠지만 lnx의 부분적분은 웬만하면 건드는거 아니다. 특히 f라는 미지의 함수에 대해서는 더 조심해야한다.

