메뉴 여닫기
환경 설정 메뉴 여닫기
개인 메뉴 여닫기
로그인하지 않음
만약 지금 편집한다면 당신의 IP 주소가 공개될 수 있습니다.
이 문서가 설명하는 게임은 존나 쉽거나 보통입니다.
이 게임의 난이도는 쉽거나 보통이어서 아무리 너의 컨트롤이 씹창이거나 머가리가 멍청하더라도 클리어가 가능합니다.
이런 게임을 설치하였을 경우 초딩이거나 병신이 아닌 이상 올 클리어는 가능합니다. 그러니 빨리 클리어하세요!

개요

2014학년도 대학수학능력시험 수학 B형 21번 문항이다.

문제 분석

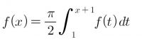
연속함수 y = f(x)의 그래프가 원점에 대칭...

미지의 함수 f(x)가 모든 실수 x에 대해서 f(x) = -f(-x)란 뜻이겠다.

모든 실수 x에 대하여 이다.

모든 실수 x에 대하여 성립하는 등식, 즉 항등식이 주어졌다. x에 이것저것 넣어보라는 뜻일테다. 뭐 간단하게 0 넣어보면 f(0) = 0 이고 그렇다.

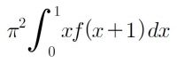
f(1) = 1이고, 를 구하랜다.

일단 주어진 항등식이 뭔가 원함수 = 정적분로 이뤄진함수 꼴의 미분방정식이다.

근데 결국 구하라는 값은 적분 안에 f(x + 1)이 있고, 치환을 통해 구간을 조절하면서 해결해야 할 것 같다.

풀이

주어진 미분방정식이 "원함수 = 정적분함수"꼴이라 좀 부담스럽다. 일단 미분을 시도하면

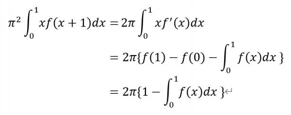
f'(x) = π/2f(x + 1) 이다.

준식이 인데 부분적분을 시도할 때 x를 사라지게 하려면 f(x + 1) 부분을 적분해야하는 상황이다.

근데 위에서 f(x + 1) = 2/πf'(x)임을 이미 알았다. 냅다 대입하면,

이제 f(x)의 0부터 1까지의 정적분을 또 구해야하는데, 다시한번 도함수로 낮추고 적분을 시도하자.

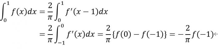
f(x + 1) = 2/πf'(x)로 만들고, 평행이동을 시켜서

f(x) = 2/πf'(x-1)을 얻고 다시 대입하면

을 얻는다.

이제 f(-1)을 구해야 하는데 문제를 죽 보니까 f(x)가 원점대칭 함수랜다.

f(x) = -f(-x)가 성립하므로 f(1) = 1이니까 f(-1) = -1임을 알 수 있다.

따라서 f(x)를 0부터 1까지 정적분한 값은 2/π이고 이를 준식에 대입하면

우리가 구하고자 하는 값은 2π{1 - 2/π} = 2π - 4

따라서 답은 1번이다.

평가

전형적인 정적분 계산 문제이다. 이런 문제 특징은 한번 잘못 길을 들거나 삽질하기 시작하면 끝도 없다는 것이다.

시작할때 먼저 어떤식부터 건들일지, 미분적분꼴 중 어떻게 바라봐야 유리할지, 치환적분인지 부분적분인지,

신중하게 견적을 낸 다음에 빠르게 계산하여 풀어내는게 정석이겠다.

참고로 위 조건을 만족하는 f(x)의 예시로는 f(x)=sin(π/2x)가 있다고 한다.