메뉴 여닫기
환경 설정 메뉴 여닫기
개인 메뉴 여닫기
로그인하지 않음
만약 지금 편집한다면 당신의 IP 주소가 공개될 수 있습니다.
이 적절한 문서는 적절합니다.
적절한 문서의 적절한 내용은 적절히 적절하기 때문에 적절하지 않은 당신도 적절히 적절하게 됩니다.
이 문서는 이해하기 어려운 대상을 다룹니다.
이 문서는 일반적인 뇌를 가지고도 이해하기 어려운 대상에 대해 다룹니다. 두뇌를 풀가동해도 아마 이해하기 어려울 것입니다.

개요

2015학년도 6월 평가원 모의고사 수학 B형 30번 문항이다.

문제 분석

f(x)에 대해서

f(x)는 미분가능한 것 말고는 아무것도 모르는 미지의 함수이다... 그리고 조건이 주렁주렁 달려있는데 저걸로 구해야하나보다.

구하라는 값

우리는 f(x)의 식을 완벽하게 알아내서 3부터 6까지 정적분을 때려야하나보다.

열심히 알아보자.

조건 해석

(가) 조건 해석

모든 실수 x에 대해서 1 ≤ f'(x) ≤ 3라고 한다.

일단 f(x)가 증가함수인건 알겠다. 근데 부등식 조건이라 먼저 건들여볼만한 조건은 아닌 것 같다.

등식조건이 좋잖아? 쑤셔 박으면 반응이 바로 오는 등식 조건이 ㅇㅇ

(나) 조건 해석

모든 정수 n에 대하여 점 (4n, 8n), 점 (4n + 1, 8n + 2) 점 (4n + 2, 8n + 5) 점 (4n + 3, 8n + 7)을 모두 지난다고 한다.

다른건 다 좆까고, 점을 지나? 우리가 찾던 등식 조건이다. 아까 적분구간이 3~6 이었으니까 x = 3, 4, 5, 6까지는 점을 구해보자.

적당히 각 점에 n에 0과 1을 대입해서 구하다 보면 (3, 7), (4, 8), (5, 10), (6, 13), 네 개의 점을 f(x)가 지남을 알 수 있다.

(다) 조건 해석

모든 정수 k에 대해서 닫힌 구간 [2k, 2k + 1]에서 f(x)가 이차함수

우리가 구해야하는 f(x)의 정의역 중 저 조건이 겹치는 부분은 닫힌 구간 [4, 5] 뿐 이다.

근데 임의의 이차함수 (ax2 + bx + c) 하나를 완벽하게 결정하는데 필요한 등식 개수는 3개이다.

근데 우리는 이미 f(4) = 8, f(5) = 10 임을 아니까, 이차함수의 미지수를 적어도 한개까진 줄여볼 수 있겠다.

풀이

Phase 1

일단 (다) 조건에서 알아낸 것들을 마무리부터 해보자.

닫힌 구간 [4, 5]에서 f(x)는 이차함수의 개형을 띤다고 한다.

그 이차함수를 임의로 p(x)라고 하자, [1]

p(x) = ax2 + bx + c 라고 하고, p(4) = 8, p(5) = 10 을 대입하자.

16a + 4b + c = 8, 25a + 5b + c = 10 이고

b, c를 a에 대해서 정리하면

b = 2 - 9a, c = 20a 이다.

따라서 p(x) = ax2 + (2 - 9a)x + 20a 이다.

Phase 2

일단 닫힌 구간 [4, 5]에서 얻을만한 f(x)의 조건은 다 구한 것 같다.

나머지 구간에서도 좀 살펴보도록 하자.

우선 닫힌 구간 [3, 4]에서 따져보자. 주어진 조건은

1) f(x)는 미분가능하다.
2) 1 ≤ f'(x) ≤ 3
3) f(3) = 7, f(4) = 8

이 정도인데... 어찌되었건 미분계수와 관련된 조건이 여러개 주어졌다.

뭔가 기울기 어쩌고 느낌이니까 여기서 잠시 닫힌 구간 [3, 4]에서의 f(x)의 평균변화율이라도 구해보자.

f(4) - f(3)/4 - 3 = 1

놀랍게도 f'(x)의 최솟값이 툭 튀어나왔다...

f(x)는 미분가능한 함수이므로, 평균값 정리에 따라서

f(4) - f(3)/4 - 3 = 1 = f'(a1) 을 만족하는 a1이 (3 < a1 < 4)에 적어도 하나 존재한다.

여기서 가능한 케이스를 하나씩 따져보자.

(A) f(x)가 닫힌 구간 [3, 4]에서 위로 볼록인 경우... f"(x) < 0

f'(a1) = 1일때, f"(x) < 0 이므로 f'(x)가 a1 < x < 4에서 감소한다.

f'(c) < 1인 c가 존재하게 되므로, "1 ≤ f'(x) ≤ 3" 조건에 위배된다. 고로 모순.


(B) f(x)가 닫힌 구간 [3, 4]에서 아래로 볼록인 경우... f"(x) > 0

f'(a1) = 1일때, f"(x) > 0 이므로 f'(x)가 3 < x < a1에서 증가한다.

f'(c) < 1인 c가 존재하게 되므로, "1 ≤ f'(x) ≤ 3" 조건에 위배된다. 고로 모순.


(C) f(x)가 닫힌 구간 [3, 4]에서 직선인 경우... f"(x) = 0

f(x)가 직선인 경우에는 위의 조건을 모두 만족한다.


따라서 f(x)는 닫힌 구간 [3, 4]에서 기울기가 1인 직선이다.


이젠 닫힌 구간 [5, 6]도 한번 조사해보자.

닫힌 구간 [5, 6]에서 주어진 조건은

1) f(x)는 미분가능하다.
2) 1 ≤ f'(x) ≤ 3
3) f(5) = 10, f(6) = 13

여기서도 닫힌 구간 [5, 6]에서의 f(x)의 평균변화율을 구해보면,

f(6) - f(5)/6 - 5 = 3

아니나 다를까 여기는 f'(x)의 최댓값이다.

위에서 적용했던 논리대로 여기서도 따져주면 여기도 기울기가 3인 일차함수임을 알 수 있다.

따라서 f(x)는 닫힌 구간 [3, 4], [5, 6]에서 직선이다.

Phase 3

이제 지금까지 얻은 정보를 바탕으로 실제 f(x)의 식을 구해보자.


1) f(x)는 닫힌 구간 [3, 4]에서 (3, 7)을 지나고 기울기가 1인 일차함수이다. [2]

따라서 닫힌 구간 [3, 4]에서 f(x) = (x - 3) + 7 = x + 4

2) f(x)는 닫힌 구간 [5, 6]에서 (5, 10)을 지나고 기울기가 3인 일차함수이다.

따라서 닫힌 구간 [5, 6]에서 f(x) = 3(x - 5) + 10 = 3x - 5

3) f(x)는 실수 전체에서 미분 가능한 함수이다.

닫힌 구간 [4, 5]에서 f(x) = p(x) = ax2 + (2 - 9a)x + 20a

미지수가 한개이므로 등식 하나만 더 있으면 된다.

p'(x) = 2ax + 2- 9a 이고,

p'(4) = f'(4) = 1이므로,

a = 1, p(x) = x2 - 7x + 20 이다.


따라서 f(x)는 다음과 같다.

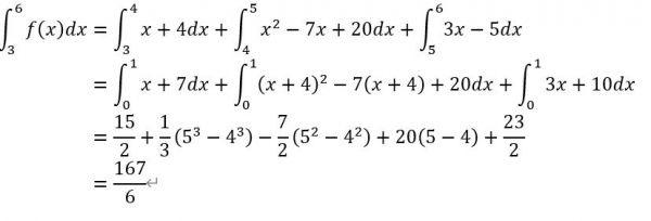
(3≤x≤4)... f(x) = x + 4
(4≤x≤5)... f(x) = x2 - 7x + 20
(5≤x≤6)... f(x) = 3x - 5

구하고자 하는 값을 계산하면

a = 167/6이므로 6a = 167

답은 167이다.

평가

격자점 찍어서 미지의 함수를 추론하는... 해괴망칙한 문제다.

문제 참 잘만들었다고 생각하는게 "ㄱ,ㄴ,ㄷ" 문항에서만 쓰이던 평균값정리를 주관식 문항에 어느정도 잘 녹여낸 문제이다.

물론 그런거 생각 안하고 대충 감으로 "직선이겠네" 하고 찍은 사람이 더 많다.

개인적으로는 평가원 성선설이 잘 드러났던 문제이다.

n에 모든 정수를 넣을 수 있다. 즉, 구간을 3부터 6까지가 아니라 뭐 50, 60까지 늘려도 할 말 없는 문제였는데 교수가 그건 너무하다 싶었나 보다. 그래서 난이도가 많이 높진 않다.

각주

  1. f(x) 자체는 이차함수가 아니므로 특정 구간에서 이차함수 p(x)의 개형을 빌려오는 것이다. 그래서 따로 p(x)를 정의하는 것이다.
  2. 이차함수는 등식 세개면 결정이 되듯, 일차함수는 등식 두개면 결정이 된다.