메뉴 여닫기
환경 설정 메뉴 여닫기
개인 메뉴 여닫기
로그인하지 않음
만약 지금 편집한다면 당신의 IP 주소가 공개될 수 있습니다.
토론 페이지에서 문서 토론에 참여하실 수 있습니다. 본문에서 토론하시지 마시고 토론 문서에서 토론해주시기를 간곡히 부탁드립니다.


이 문서가 설명하는 게임은 존나 쉽거나 보통입니다.
이 게임의 난이도는 쉽거나 보통이어서 아무리 너의 컨트롤이 씹창이거나 머가리가 멍청하더라도 클리어가 가능합니다.
이런 게임을 설치하였을 경우 초딩이거나 병신이 아닌 이상 올 클리어는 가능합니다. 그러니 빨리 클리어하세요!

개요

2017학년도 대학수학능력시험 수학 가형 21번 문제이다.

문제 분석

일단 미지의 함수 f(x)가 닫힌구간 [0, 1]에서 증가하는 연속함수라고 한다. 그로테스크하게 생긴 함수는 아니라는 것에 안도하자.

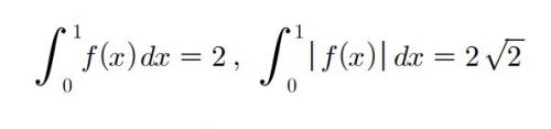
적분을 한 값이 라는데,

f(x)를 그냥 적분한 값과 |f(x)|를 적분한 값이 다르게 나온다.

근데 앞서 우리는 f(x)를 단순히 증가하는 연속함수라고 알고 있다. 마침 적분 구간도 0에서 1까지이다.

그림을 그려보면서 대충 생각해보면,

이런 상황이라고 예상해 볼 수가 있다.

따라서 적분값이 저따위니까 f(c) = 0를 만족하는 임의의 c는 열린구간 (0, 1)에서 딱 한개 존재할 수 밖에 없다는 사실도 알 수 있다.

그리고 여기서 저 A, B 식끼리 연립하여 넓이까지 파악해버리면 A = √2 + 1, B = √2 - 1 이다.

여기까지 파악을 하고 우리가 구해야할 식을 보자.

f(x)F(x)를 0부터 1까지 정적분을 하랜다.

근데 주어진 식에 따라서 우리는 F(x)가 |f(x)|의 부정적분임을 안다. 또한 F(x)를 미분하면 |f(x)|이기도 하다.

풀이

일단 식의 분위기 자체가 미적미적한 (미분된 함수 적분된함수라는 뜻 ㅎ) 분위기니까 치환적분이나 부분적분의 스멜이 강하게 난다.

그럼 일단 F(x)를 어찌하긴 힘들고 f(x)로부터 |f(x)| 등장시켜야 뭐라도 좀 해볼거 같다.

아까 c의 존재를 파악했으니 f(x)를 c로 구간 분할하여 음의 넓이 구간만 양수로 바꿔주면 |f(x)|로 바꿀 수가 있다.

저 상태에서 치환적분을 시도하고 식을 다정리하면

1/2{ F(1)2 + F(0)2 } - F(c)2 이다.

F(x) 식에 x = 0 대입하면 F(0) = 0 나오고

F(c)는 |f(x)|를 0부터 c까지 적분한 값이므로 B와 같다. 따라서 F(c) = √2 - 1

F(1) = A+B 이므로 2√2이다.

모조리 식에 때려박으면

1/2(2√2)2 - (√2 - 1)2

= 1 + 2√2

따라서 답은 4번이다.

평가

절댓값에 쫄지만 않으면 무난하게 풀 수 있는 문제였다.

f(x)가 단순히 증가할 뿐인 연속함수이므로 f(c) = 0이되는 미지수 c를 고민 없이 뒀으면 편하게 풀렸다.

ㄴ 근데 이게 쉬움틀 달 정도인가... 윾건이형도 그렇고 이문제 쉽다하는 사람들 간혹 있네 나름 21번 값 하는 문제라고 생각했는데