메뉴 여닫기
환경 설정 메뉴 여닫기
개인 메뉴 여닫기
로그인하지 않음
만약 지금 편집한다면 당신의 IP 주소가 공개될 수 있습니다.
주의. 이 문서는 심히 진지하여 노잼일 수 있습니다.
이 글은 놀랍게도 디시위키에서 진지를 빨고 있습니다. 노잼이다 싶으시면 여기를 클릭하시어 이 문서를 탈출할 수 있습니다.


개요

수를 나열한것

자연수 집합을 정의역으로 갖는 함수. 쉽게 말하자면, 수를 늘어놓고 그것에 순번을 붙이는 것이다.

차가 일정한 공차로 이루어진 수열을 등차수열

비율이 일정한 공비로 이루어진 수열을등비수열

그외에 계차수열 등 여러가지 수열이있다

시그마를 이용해 합으로 나타낼 수 있으며

시그마로 나타내는 수열들의 합은 이산된 자료의 합이고

인테그랄로 나타내는 정적분은 연속적인 자료의 합이다.

수학II 3단원에 처음 배우는 내용이고 이때부터 수포자가 양산된다. 나중에 미적분I의 수열의 극한에서 다시 수열을 보게 된다.

학생들을 괴롭히는 주범새끼다.

ㄴ교육과정 개정으로 수학I 3단원에 나오게 되었다

등차 수열

등차수열은 인접한 항의 차가 일정한 수열이다. (1,4,7,10...), (3,8,13,18...) 등이 등차수열이다. 이 때 인접한 항의 차를 공차라고 한다. (1,4,7,10...)을 예로 들어보면, 첫째항은 1이고 공차가 3인 등차수열이다.

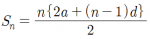
등차수열의 일반항 an은 첫째항을 a,공차를 d라고 하면 an=a+(n-1)d다.

만약 이걸 보고 있는 너가 수원 배우는 학생이라면 저 위에 식은 등차수열 하는 동안은 잘 외워놓길 추천한다.

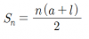
등차수열의 합으로는 로 나타낼 수 있다.

등비 수열

등비수열은 인접한 항의 비가 일정한 수열이다, (3,6,12,24...), (2,6,18,54...)등이 등비수열이다. 이 때 인접한 항의 비를 공비라고 한다. 역시 (3,6,12,24…)을 예로 들어보면, 첫번째 항은 3이고 공비가 2인 등비수열이다.

등차수열의 일반항 an은 첫째항을 a,공차를 r이라고 an=arn-1로 나타낼 수 있다.

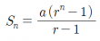
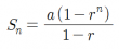
등비 수열의 합

(r≠1)일 때 이나 이다.

(r=1)일때 Sn=an

같이 보기