| 주의. 이 문서는 심히 진지하여 노잼일 수 있습니다. 이 글은 놀랍게도 디시위키에서 진지를 빨고 있습니다. 노잼이다 싶으시면 여기를 클릭하시어 이 문서를 탈출할 수 있습니다. |
| 이 문서는 이해하기 어려운 대상을 다룹니다. 이 문서는 일반적인 뇌를 가지고도 이해하기 어려운 대상에 대해 다룹니다. 두뇌를 풀가동해도 아마 이해하기 어려울 것입니다. |
| 이 문서는 이과가 작성했거나, 또는 이과에 대해 다룹니다. 무슨 생각으로 작성한 건지는 잘 모르겠습니다만 맞는말임은 틀림 없습니다. 이과는 아다를 못 떼 마법을 쓰니까 말이죠... |
| 주의. 좆도 궁금하지 않습니다. 이 문서는 당신이 좆도 궁금해하지 않을 것에 대하여 설명하고 있습니다. 쓸데없이 긴 문서를 읽는 시간이 아까워질 것입니다. 언더테일 아시는구나! 누물보??????? |
- 관련문서: 수열
개요
미적분(교과)에서 배운다. 하지만 그 전에 수열에 대해서 모른다면 수I부터 다시 때우고 와라.
솔까 고1, 2 수학 과정만 어느정도 잘 거치고 왔다면 극한문제는 꿀중 하나다. 그래서 모의고사 자살방지문제에서 꼭 나온다.
이제 수열의 극한에 대한 것을 알려준다.
수열의 극한이란, n이 무한이 커질 때 an은 A에 한없이 가까워 질 때,
라 적으며, 이를 수열의 극한으로 삼는다.
엄밀하게는 수열이 수렴한다는 것을 ϵ−N 논법으로 정의한다. 디키러들은 이걸 잘 모르니 그냥 넘어가자. 학교에서는 갈켜주나..? 아닐껄. 좆나 복잡해서.
ㄴ 별로 어렵지 않다. "임의의 양수 엡실론에 대하여, 어떤 자연수 N이 존재하는데, 그 N이 어떤 N인가 하면, N보다 큰 n에 대해서, an과 A의 차이는 항상 엡실론보다 작은, 그런 N이 각각의 엡실론에 대하여 존재한다, " 가 엄밀한 정의.
좀 더 풀어서 설명하자면, n이 어떤 수 N보다 클 때, an이 A를 중심으로 하는 엡실론 반경 구간 안에 들어가야 한다, 이 성질이 모든 엡실론에 대하여 성립하고, 엡실론이 변하면 N도 변할 수 있다.
참고로 저 집합기호 삼지창 폰으로 보면 네모로 보인다.
수열의 수렴과 발산
수열이 수렴하긴 위해서는 그래프상으로 볼 때 어느 특정한 값이 좆나 가까워져야 한다. 0.999...는 1에 가깝다. 그래서 0.999..의 극한값은 1이 된다. 그래서 0.999...=1은 개소리고 1에 한없이 가까워지는 것이지 1이 아니라고 한다. 그러면 0.999...≈1이 되어야 한다. 0.999...=1이 될려면 뭔가가 더 필요할 듯하다. 극한이 가까워지는 것일 뿐 1이 아니라고 하니.. 수식 조미료 어딨냐? 라고 했지만.. 이러한 주장이 나오게 된 것은 극한과 실수에 대해 처음 배울 때 '가까이 간다', '실제 존재하는 수' 등의 두리뭉실한 정의로 가르치기 때문이다. 실제 무한소수인 0.999…에는 그런 애매한 표현을 적용할 수 없다. 애매한데 씨발. 당근 적용 안해야지.. 거기다가 우리 닝겐이 무한이라는 개념을 이해하기 어렵기 때문에 문/이과 상관없이 맞다 아니다 이 지랄하는 거다. 0.999....에 대한 병림픽은 계속 된다. 쭈욱~ 그리고 끝은 없을 것이다. 왠지 그럴 삘이 보여..
수열이 발산하는 것은 이런거다. 양의 무한대로 가거나 음의 무한대로 가거나 아니면 진동하거나.
[주의 사항]
볼드체가 좆같지만 이해하자. 이 밑에 있는 것들은 주의 못해서 틀리는 새끼들이 많기 때문.
- 진동같지만 아닌 것.
이런 거다. 특정한 값에 가까워 지는데 위아래로 들쑥날쑥해서 발산(대부분 진동이라 생각함)을 찍는 사람도 있다. 배웠는데도 불구하고도 까먹는 바람에 헷갈릴 수도 있으니 시험칠 때 주의하자.
물론 진행방향이 왼쪽이면 진동 맞다.
리미트의 성질
웬만해서는 상수 밖으로 빼지마라. 나중에 까먹고 안곱하게 되니까.
수열의 극한값 계산
수열의 극한값 계산에 관한 문제로는 ∞/∞과 ∞-∞이 있다.
∞/∞=1이 아니다.(∞/∞≠1) ∞-∞=0이 아니다.(∞-∞≠0) 왜냐하면 ∞는 수가 아니기 때문.
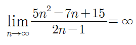
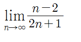
∞/∞꼴
1. ∞/∞꼴 첫번째.
이건 앞대가리만 보고 풀면 된다. 그러면 이 식의 극한값은 1/2. 좆나 쉽다. 걍 쉽다. 오오 쉬워요.
2. ∞/∞꼴 두번째.
이렇게 생겼을 경우 분모가 빵빵하여 0이 된다. 왜 그렇게 될까? 아래에 잘 나타나 있다.
3. ∞/∞꼴 세번째. 이번엔 분자가 빵빵하다.분자가 빵빵해서 쾅 터지면 무한대로 가버린다. 가버렷!←노잼.
설명을 너무 좆같이 했기에 추가한다.
∞/∞꼴은 분자와 분모앞에 있는 최고차항의 치수를 비교하는것부터 해야 한다 그런 다음 차수가 다르면 1, 2를 따르고 차수가 같으면 3을 따르면 된다.
1. 분자의 최고차항의 차수가 분모보다 크면 양 또는 음의 무한대로 발산하고
2. 분모의 최고차항의 차수가 분자보다 크면 0에 수렴하고
3. 분자의 최고차항과 분모의 최고차항의 차수가 같으면 최고차항의 차수만큼 분자와 분모를 나눈다.
정리하면 최고차항 빼고는 다 (상수)/∞, 즉 0이 되므로 최고차항의 계수만 남게 된다
즉 (분자의 최고차항의 계수)/(분모의 최고차항의 계수)에 수렴한다.
∞-∞꼴
딱 봐도 귀찮아 보인다. 거의 루트를 이용한다. ㄴ 근데 저거 답 1이아니라 -1아니냐?
ㄴ두번째 등호에서 잘못됐다
분자나 분모를 유리화시킨다음에 ∞/∞ 꼴의 방법을 이용하는것이 일반적인 방법이다.
극한의 대소 관계
위 사진처럼 주로 스퀴즈 정리(샌드위치 정리)를 이용한다.
함수의 극한
수열의 극한을 때웠으면 함수의 극한에 대해서 알아야 한다.
x가 한없이 a에 가까워질 때 f(x)가 한없이 L에 가까워지면,
이라 쓴다.
중요한 것은, 한없이 가까워지는 것이지 절대 그 수가 되지는 않는다는 점이다. 이래서 0.999...≈1이 나오는 거다. 0.999...=1이 아니고
(0.999...=1이 될려면? 0.999....=1 문서 참조. 근데 여기도 반론이 있다.←그 반론이 알고보니 이 문서더라..)
ㄴ극한을 배울 때 학생들이 가지는 대표적인 오류다. 가령 f(x)=1 인 상수함수의 극한을 생각해보자. lim f(x) (x→0) = 1 아니냐? 근데 f(0.1)=f(0.01)=...=f(0.0000001)=...= 1 이다.
그 수가 되든 말든 상관 없다. 이런 거 애들이 존나 헷갈려 하는데 잘못된 지식을 이렇게 당당히 써놓으면 어떡하냐?
아마 이 글을 보는 많은 고딩들, 그리고 많은 대학생, 성인들도 잘못 알고 있으리라 생각해서 안 지우고 남겨둔다.
'한없이 가까워지는 것이지 그 수가 아니다' 라는 표현은 직관적인 이해를 쉽게 하기 위해 고딩수준으로 교사나 강사들이 종종 설명해 주는 방식인데 정확히 말하면 틀렸다. 근데 어짜피 고딩대가리로는 다 알 수 없고 필요도 없으니 그냥 대충 넘어가라. 사실 그 부분은 문제푸는데도 상관없다. 다만 정확한건 아니라는 것은 알아둬라.
ㄴ 어짜피 고딩수학에서는 이 부분 이과충들조차 야매로 배우고 넘어간다. 근데 멋모르는 이과충들이 자기네들이 배우는 미적분이 엄청 심오한 걸로 착각한다. 사실 증명도 제대로 안 된 야매다. 그리고 대학 가서도 미적분은 그냥 산수다.
문과가 이걸 못하면 그냥 수포자 아닌가? 배우니깐 1학년 수2보다 쉬운거같음
ㄴ기본 문제야 쉽겠지....언제나 그렇듯이 4점짜리 문제로 넘어가면 지옥이다.
사실 쫄아서 그렇지 딱히 이 부분이 내용 자체가 어려운 것은 아니다. 어짜피 어떻게 꼬이냐가 문제지 단원 자체가 꼭 쉽고 어려운건 없다. 참고로 알 사람은 다 아는 극한의 비기가 있다. 잘 보시라.
ㄴ 수식 에러났다.
극한의 엄밀한 정의
위에 이미 나와있지만, 급식시절 배우는 극한은 말그대로 야매다.
수학적으로 극한을 엄밀히 정의하려면 입실론-델타 논법을 사용해야 한다(줄여서 입델이라고도 부름). 어떤 연속함수의 한 지점 x에서 떨어진 거리 d만큼의 차이가 델타보다 작을 때, 이것의 함숫값 f(x)와 f(a)(a는 x에서 d만큼 떨어진 거리의 실제 정의역 좌표)의 차이가 입실론이라는 임의의 양수보다 작도록 하면서 입실론과 델타의 관계를 모든 d에 대해 보이면 그 함수는 x에서 극한값 f(x)(=L)이 있다고 말한다. 이걸 'x가 a로 갈 때의 f(x)의 극한값 L이 있다'라고 말한다. 참고로, 이건 어디까지나 연속함수에서 성립하는 것이고, 불연속함수에서는 함숫값 f(x)가 극한값과 다를 수 있다.
좌극한은 a-델타부터 a까지 우극한은 a부터 a+델타까지
함수의연속도 같은방법으로 정의하는데, 극한에서 정의역 0이어도 된다하고 극한 L을 f(a)로 바꾸면 된다
대학에서 배우는 미적분학은 이거 하나만 배워도 거의 절반을 먹고 들어간 것이나 다름없다. 적분, 수열, 편미분과 다중적분까지 해당 내용을 정의할 때 반드시 한 번씩은 튀어나오기 때문이다. 때문에 대부분의 대학에서는 입델을 미적분학 시험에 한 번씩은 낸다.
문제는 예를 들어 sqrt(4-x)+5(x-2)^2의 x->3의 극한이 6이라는걸 증명하라는 문제가 나오는건데, δ를 막 1 이하라 잡고 제곱근함수는 정의역범위를 치역범위로 만들어서 루트씌우고 그 바깥쪽에 적당한 범위를 잡아주는 일차식을 찾으면 예쁘게 입실론이 나와서 그걸갖고 지랄하고 막 좆같다.





