메뉴 여닫기
환경 설정 메뉴 여닫기
개인 메뉴 여닫기
로그인하지 않음
만약 지금 편집한다면 당신의 IP 주소가 공개될 수 있습니다.
이 글의 어떤 부분은 숨어있는 이과가 작성했습니다.
이 문서의 작성자는 문과로 갔는데 관심은 이과생들이 곳을 작성했습니다.
근데 무슨 생각으로 작성한 건지는 모르겠지만 확실한 건 맞는 것 같습니다.
이 넘은 뭣 땜에 문과로 갔지?

개요

연금에 대한 기술.

여기서 쓰는 표기들은 원리합계 문서에다가 정리해놨다. 보고 참고해라.


확정 연금 (annuity certain)

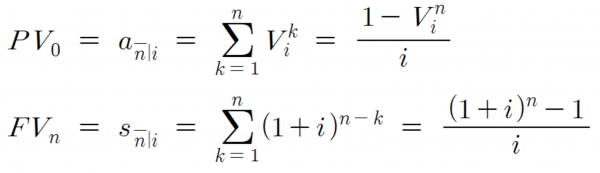
기말불 (annuity immediate)

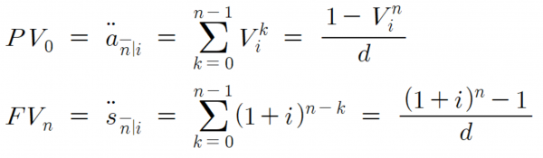
기수불 (annuity due)

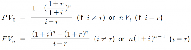
등비수열 연금 (annuities following a geometric progression)


등차수열 연금 (annuities following an arithmetic progression)


증명:

평생 연금 (Perpetuity)

기말 평생연금

기수 평생연금

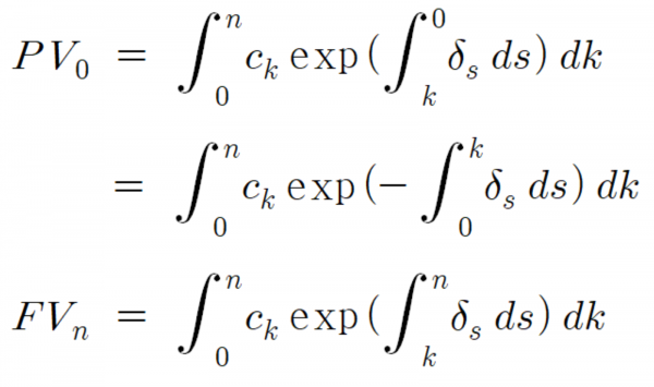
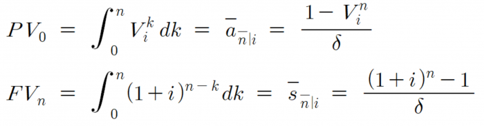
연속 연금 (Continuous annuity)


일반화된 연속 연금 (Generalized continuous annuity)


위의 연속 연금은 c_k = 1이고 순간이자율이 시간 t에 대해 독립적인 상수일 때의 경우(즉 순간이자율 = ln(1+i)일 때)의 계산식이다.

생명 연금 (life annuity)

생명 보험


종신 보험 (whole life insurance)

정기 생명 보험 (temporary life insurance)

순 양로보험 (pure endowment insurance)

양로보험 (endowment insurance)

지연 종신 보험 (deferred life insurance)

지연 정기 보험 (deferred term insurance)


연금 보험


종신 연금 보험 (whole life annuity due)

n년 정기 생명 연금 보험 (n-year temporary life annuity due)

n년 지연 연금 보험 (n-year deferred life annuity due)

n년 확정 연금 보험 (n-year certain and life annuity due)