메뉴 여닫기
환경 설정 메뉴 여닫기
개인 메뉴 여닫기
로그인하지 않음
만약 지금 편집한다면 당신의 IP 주소가 공개될 수 있습니다.
이 글의 어떤 부분은 숨어있는 이과가 작성했습니다.
이 문서의 작성자는 문과로 갔는데 관심은 이과생들이 곳을 작성했습니다.
근데 무슨 생각으로 작성한 건지는 모르겠지만 확실한 건 맞는 것 같습니다.
이 넘은 뭣 땜에 문과로 갔지?

원금과 이자를 합한 값이라는 뜻이다. 이거 아직도 중고교과정에 남아있냐?

연금 구조 문서에는 아래 표기를 이용한 계산법을 적어놨다.

솔직히 익숙해지면 연금 구조 문서에서 쓰는 계산법이 고등학교에서 가르치는 표기보다 외우기도 쓰기도 훨씬 쉬울걸?


개요

연 단리 (simple interest rate)

연 복리 (compound interest rate)

유효이자율 (effective rate)

딱 여기까지가 고등학교 수준.


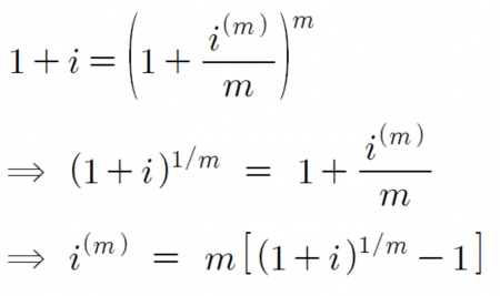
명목이자율 (nominal rate)

할인계수 (discount factor)

할인율 (discount rate 혹은 rate of discount)

순간이자율 (force of interest)

인플레이션 (inflation)

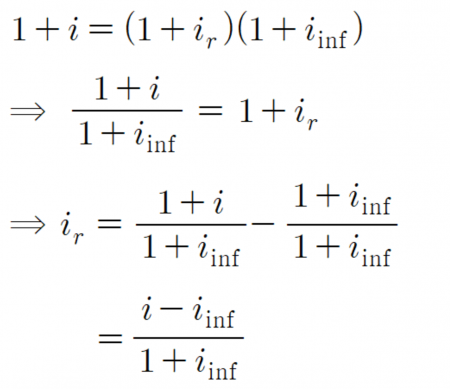
실질이자율 (real interest)


단리 (Simple interest)

복리 (Compound interest)

유효이자율 (Effective rate)

명목이자율 (Nominal rate)

할인계수 (Discount factor)

할인율 (Discount rate)


채권 문서에 미국 국채에 대한 걸 조금 적어놨는데, 이게 할인율의 사용예시다.

또, 연금 구조 문서에서 기수불을 계산할 때에도 할인율을 썼다.

순간이자율 (Force of interest)

옵션같은 파생상품의 프로핏 계산 때는 위의 델타표기 대신 r을 쓰고, 델타표기는 주식의 순간배당률 등을 계산할 때 쓰인다.

인플레이션 (Inflation)

실질이자율 (Real interest 혹은 real rate of return)


참고

금융공학

금융수학

연금 구조

옵션

채권