| 주의. 이 문서는 공머생들이 좋아하는 주제 혹은 공머생 그 자체에 대해 다룹니다. 본 문서가 다루는 내용에 지나치게 탐닉할 경우 필연적으로 여성들과 멀어지게 됩니다. 이는 디시위키가 책임지지 않습니다. |
| 이 문서는 이과가 작성했거나, 또는 이과에 대해 다룹니다. 무슨 생각으로 작성한 건지는 잘 모르겠습니다만 맞는말임은 틀림 없습니다. 이과는 아다를 못 떼 마법을 쓰니까 말이죠... |
계속하면 정신이 나가 샷건을 칠 수 있으니 하기 전에 다량의 항암제를 준비하거나 전문가와 상의를 권고합니다. 하지만 이미 늦었군요, YOU DIED |
ㄴ 수2에 나오는 다항함수 적분 말고 미적에 나오는 거 (치환적분, 부분적분)
| 이 문서는 문과는 이해할 수 없는 문서입니다. 이 문서는 문과생은 이해할 수 없습니다. 문과생은 팝콘이나 가져와라! |
개요
| 이 문서는 과학지식이나 공돌이에 대해 다룹니다. 이 문서는 여러 사례와 분석에 의해 과학적 지식으로 입증된 것에 대해 다루고 있습니다. 이 항목과 관련된 종자는 매드 사이언티스트임이 틀림없습니다. 적분은(는) 과학입니다. |
미분-적분 순으로 배운다고 치면 아무래도 적분이 더 쉽게 익숙해진다. 미분 거꾸로 (제1 미적분학 기본정리) ⇒미분을 거꾸로하면 적분이라는 말은 정의로는 옳지만, 그건 적분을 정확하게 이해한 차원에서의 것이 아니다. 적분을 잘하기 위해선 '넓이'와 적분의 연관성을 항상 염두해 두어야 한다.
적분(積分)이란 쌓을 적(積)에 나눌 분(分), 즉 나누어서 쌓는다는 의미로 잘게 나누어 모두 더하는, 미분의 역연산이다. 赤糞(빨간똥) 아니다.
적분은 고등학교 과정에서 크게 정적분과 부정적분으로 나누는데, 다음과 같다.
정적분
정적분(定積分)이란 정(定)해진 적분이란 뜻으로, 정해진 구간사이의 적분값을 직접 구하는 적분이다.
- 예) 0부터 1까지 f(x)= x의 정적분은 x축과 f(x), x=0과 x=1로 둘러싸인 직각이등변삼각형의 넓이가 된다. 계산해보면 1*1/2=0.5가 된다. f(x)=-x일때는 똑같은 직각이등변삼각형의 넓이지만 삼각형이 x축 밑에 있으므로 적분값은 마이너스를 붙여 -0.5가 된다.
이 예시만 보면, 정적분을 단순히 '넓이'라 생각하는 오류를 범할 수 있는데, 보다 엄밀히 말하자면 x축을 기준으로 +와-의 방향성을 가진 넓이라 볼 수 있다.
부정적분
부정적분(不定積分)은 정해지지 않은(不定) 적분이란 뜻으로 도함수로부터 구할 수 있는 모든 종류의 원시함수(미분해서 도함수로 만들기 전의 함수)를 임의의 상수 C를 추가해 표현한다.
- 예) G(x)=x^2+C(C는 임의의 상수)라 하고 g(x)=2x라 하면 C가 어떤 수이든 간에 G(x)를 미분하면 g(x)가 되므로 G(x)는 g(x)의 원시함수이다.
앞의 예시에선 그냥 도함수와 원시함수를 제시하고 설명했지만, 도함수로부터 몰랐던 원시함수를 구하는 과정을 부정적분이라한다. 부정적분은 '방향성을 가진 임의의 넓이'에 대한 함수로 이해할 수도 있다.
기타
적분을 이해하기 위해서는 극한과 급수의 개념에 대한 이해가 필요하다. 공부하기 전에 원의 넓이를 구하거나 원뿔의 부피 등을 구하는 구분구적법을 공부하고 정적분을 공부하면 적분의 논리를 이해하기가 더 쉬울 것이다.
흔히 '미적분'이라 얘기할때 미분을 적분보다 앞서 나오고, 미분을 먼저 배우므로 마치 미분이 적분의 토대인 것 같은 느낌이 들겠지만,
아이러니하게도, 미분보다 적분이 먼저 발견되고, 발전하였다. (앞서 말한 구분구적법이 적분의 가장 기초라 볼 수 있다.)
학교 교과서의 논리를 자연스럽게 따라가면 이해하기가 매우 쉽다. 뭐가뭔지 모르겠는 사람은 교과서를 정독해보자.
근데 왜 미분을 먼저 배우냐면 미분이 없는 적분은 계산이 조오오오오오오오온나 어렵기 때문이다.
ㄴ 아 시발 치환적분 부분적분 문제집에서 좆같은 거 잘못 걸리면 A4 한 면 넘어간다 아 문제집 찢어버리고싶다
狄糞(오랑캐똥), 赤糞(빨간똥)
티끌모아태산
기하와 벡터와 함께 대학 논술문제들의 단골주제이다. 하지만 난이도는 이게 더 좆같다. 기하와 벡터는 공간감각과 도형원리만 익히면 어느 정도 해결되지만 적분은 그냥 좆같다.
미분! 적분! 이차함수!
적분의 간단한 해설
적분 어렵지 않아요~ 쉽게 물통에 10초동안 반의 물이 차면 어떤 순간에 물이 차는 비율들의 그래프를 적분한 결과는 물통에찬 물의 양이다.
이런 개좆도 쓰잘데기 없는짓을 어째서 하는가? 물이 찔끔찔끔 나오고 수시로 나오는양이 달라지는데, 저런 물통이 없고 나오는양만 알때 흔히 사용한다.
쉽게 모든걸 다 더한거다 ㅇㅇ?
진짜 개요
| 이 문서는 이해하기 어려운 대상을 다룹니다. 이 문서는 일반적인 뇌를 가지고도 이해하기 어려운 대상에 대해 다룹니다. 두뇌를 풀가동해도 아마 이해하기 어려울 것입니다. |
| 이 문서는 성물(聖物)을 다룹니다. 이 문서는 그 누구도 깔 수 없는 물체를 묘사합니다. 성물을 욕보이게 하는 짓은 하지 맙시다. |
적분이 없었다면 지금의 인류 문명은 만들어질 수 없었다.
위에서 볼 때 완전한 원이 아닌 너의 대가리의 넓이를 구할 때 사용한다. (사실 원의 넓이공식을 구할때도 적분의 개념이 이용된다.)
적분은 고대 이집트 시절 나일강의 범람으로 인해 바뀐 토지면적을 지주들에게 측량, 계산해 알려주기 위하여 생겨났다.
고딩 때 올라오면 보이는 기본식. 인테그랄이 보인다.
이dx는 어따 쓰는 긴고?
흔히 정적분을 근사할때 리만 합을 사용하는데
△x(x의 변화량)가 n이 무한대에 다가감에 따라 매우 작아진다.
이 때 dx는 매우작은 △x 값(미분소;텐서량)을 의미하며 인테그랄(∫)은 구간 (a,b) 에서 모두 '더한다'는 뜻이다.(∫는 Sum-의 s를 길게 늘려 쓴것.)
이 때, 더하는 값은 'c∈(a,b)인 f(c)와 그 때 매우작은 dx의 값을 곱한 값' 이다.
dx에 대한 더욱 엄밀한 정의가 있지만, 굳이 어려운 내용을 적을 필요는 없을 것 같다. 구간 (a,b)사이의 차이를 매우 근소한 x₁과 x₂사이의 변화량 정도로만 이해하는 고등학교 수준의 설명 정도로 끝내도 적당하다.
인테그럴 기호 옆에 구간만 [a,b]라고 정확하게 기재하면 dx는 필요 없다. 니가 머학가서 미적 시험때 dxdy도 적분기호옆에 구간만 정확하면 필요 없다.
그러나 간혹, 틀렸다고 채점당했을 때, 니가 아규먼트로 교수든 교사든 이길 확률은 0에 수렴하므로 찌질댈거면 그냥 dx dy 전부 적는게 좋다.
구분구적법
적분의 기초. 도형을 세분하여 각 부분의 넓이나 부피를 구한 후, 이들의 합의 극한값으로 본래의 도형의 넓이 또는 부피를 구하는 방법이다. 주로 니가 잘 아는 도형의 넓이(사각형, 원, 원기둥)를 이용해 구하는거다. 고등학교에서 정적분을 배우기 전에 나오는 거다. 이거 은근 귀찮다. 초딩 후반 때 부터 현재 고2 극한 단원까지의 지식을 어느정도 끌어다 와야된다. 선분의 분할, 그리고 수열과 관련된 공식 등등등등..
거기다가 은근 귀찮다. 시간도 오래걸리고... 계산 실수하면 빡치는거다.
그래서 막상 시험칠 때 이런거는 빈칸 쳐넣기가 많다.
이걸 이용하면 삐뚤빼뚤하거나 이상하게 생긴 도형들의 넓이를 구하는 게 가능해진다.
종류
적분은 크게 세가지로 나눌 수 있는데 우선 미분의 역연산으로서 정의되는 부정적분, 리만이 정의한 정적분, 그리고 특수한 경우인 이상 적분으로 구분된다.
- 부정적분은 미분의 역산이다. 미분 거꾸로가 여기서 나옴.
- 정적분은 리만합의 극한으로 정의된다. 만약 닫힌 구간 [a, b]에서 연속이라면 미적분의 기본정리에 의해 다음과 같이 구할 수 있다.
- 이건 고딩 때 나오는 거다.
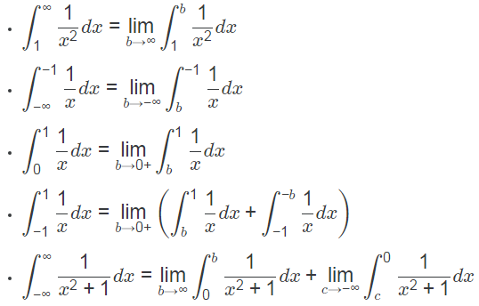
- 이상적분은 적분 구간이 무한대이거나 적분 구간에서 함수가 발산하는 점이 있는 경우이다. 당연히 극한의 개념이 필요하다.
e(x2)같이 부정적분이 초등함수로 안나오거나 부정적분(anti derivative)을 못하는 2개 이상 변수라면?
학식 1학년 수준에서는 테일러 급수로 나타내서 적분하는 방법도 있고 혹은 사다리꼴 공식,포물선 공식 등으로 수치적분하는 방법이 있다. 2개 이상의 변수는 잘 모르겠다. 이때는 보통 편미분 방정식일텐데 원시함수가 함수들의 곱꼴이라 가정하고 미분방정식을 푸는 변수분리법이라는게 있는데 그거 빼고는 잘 모르겠다. 추가바람
ㄴ유계수열인지 확인하고 극좌표 또는 구면좌표로 치환해서 수치적분시킨다 물론 존나게 한정적인 함수만 가능 고로 안될만한건 안된다 근데 수학과 대학원과정 에서는 푼다는데 뭘 어떻게 하는거?
함수에서의 적분
곡선과 x축 사이의 넓이. 두곡선 사이의 넓이(적분차). 그러하다. 무리함수나 로그, 삼각, 무리함수+삼각 혼합 등 으로 가면 머가리가 터진다하더라.
전공수학에서 적분
니들이 고등학교때 했던 x sinx 적분질 이딴거 전공수학에서 안한다. 적분은 해석학에서 다루므로, 관심이 있다면 이 문서로 가도록.
적분에는 여러 종류가 있다. 해석학에서는 니들이 아는 리만적분, 그리고 니들이 모르는 리만-스틸체스 적분을 다룬다. 적분도 계산질 적분이 아니라 '적분 가능'에 대해서 다룬다. 핵노잼 수능공부하는 고딩들은 "아니 연속함수면 적분 가능하지 그게 뭐가 어려워"할지도 모른다. 하지만 연속함수가 아니어도 적분 가능하다.
x<0일때 f(x)=1이고, x>=0일때 f(x)=2인 함수를 생각해 보아라. 이 함수는 폐구간 [-1, 1]에서 연속이 아니다. 근데 이 구간에서 적분한 결과가 3이라는 것에 태클거는 놈은 아무도 없을 것이다.
그래서 이처럼 보면 알겠지만 불연속점이 띄엄띄엄 있고 나머지는 연속인 함수도 적분이 잘 정의된다. 이것을 '조각 연속(Piecewise continuous)'라고 부른다. 이과면 이정도는 알아먹겠지?
근데 문제는 '띄엄띄엄'이란 애매한 표현을 수학에서는 절대 용납하지 않는다는 것이다. 이런 함수를 생각해 보자.
x가 유리수일때 f(x)=1, 그 외에 f(x)=0
유리수는 아무리 작은 구간을 작아도 그 안에 존나 많이 들어있다(전공수학에선 이것을 보고 dense하다고 한다). 이걸 보고 띄엄띄엄하다고 생각하는 놈은 80% 확률로 수학과 학생이다.
이 함수는 적분 가능할까? 결론은 리만적분 불가능하다. 모든 점에서 불연속이기 때문이다.
설명을 추가해 본다. 보통 리만적분이 가능한가? 에 대해서는 상합과 하합의 극한이 같느냐 안같느냐를 따져서 판단할 수 있다. 상합이란 구분구적법에서 배울 때 그래프보다 크게 만든 네모토막들의 합이다(즉, 분할이 촘촘해질수록 리만합에 가까워짐) 하합은 반대로 생각하면 된다. 그렇다면, n이 무한으로 간다면 상합은 임의의 양수 입실론에 대해 리만합 + 입실론일거고, 하합은 마찬가지로 리만합 - 입실론일 것이다. ㅇㅋ? 그럼 생각해보자. 위의 조밀한 함수에서 유리수점을 기준으로 분할을 했을때 모든 구간에서 하합은 0이고, 상합은 1이다. 뭔말인지 캐치가 되나? 어떻게 인터벌을 잡든 반드시 유리수와 무리수가 들어가므로 함숫값은 0과 1이 둘 다 있다. 그러므로 상합과 하합의 극한은 각각 0과 1이고, 따라서 같지 않으므로 리만적분이 불가능하다.
적분 가능을 논하기 위해 우리는 불연속점들의 집합의 성질을 알아야 한다. 불연속점이 유한하면 적분 가능하다는 것은 직감이 올 것이다. 머리가 터질 것 같은 너를 위해 결론만 적자면, 다음과 같다.
"불연속점의 집합이 measure zero이면, 리만적분 가능하다."
뭔 개소린지 모르겠는가? measure는 측도론에서 나오는 개념이다. 읽어봐라. 물론 읽어봐도 모를 것이다. 이렇듯 리만적분만 봐도 존나 머리아프다.
자 근데 이러한 리만적분의 한계점을 극복하기 위해 르베그라는 미친 수학자가 '르베그 적분'이라는 이상한 개념을 만들어냈다. 이걸 이해하려면 측도론을 정말 제대로 알아야 한다. 위에서 말한 저 함수를 르베그 적분하면 놀랍게도 적분 가능하다. 그리고 그 결과는 항상 0이다. 유리수는 measure zero이기 때문이다.
자세한건 해석학이나 르베그 적분론에서 공부해 보도록.




